EVENTS INVOLVING "NOT", "OR", "AND"

Copyright by Ingrid Stewart, Ph.D.  Please Send Questions and Comments to ingrid.stewart@csn.edu.

What is discussed in this lecture?

1.   Probability of an Event NOT Occurring
2.   "Or" Probability with Events that are Mutually Exclusive
3.   "Or" Probability with Events that are NOT Mutually Exclusive
4.   "And" Probability with Independent Events
5.   "And" Probability with Dependent Events

1.   Probability of an Event NOT Occurring

We know P(E) is the probability of an event E occurring. Then we can also find the probability that the even will NOT occur, which is denoted P(not E). The event "not E" is called the complement of E.

In an experiment, an event must occur or its complement must occur (if not "heads" then "tails"; if not "hearts" then "spades", "diamonds" and "clubs"). 

The sum of the probability that an event will occur and the probability that it will NOT occur is 1.

That is,

Therefore, the probability that an event will NOT occur must be .

Example 1:

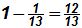
If you are dealt one card from a standard 52-card deck, find the probability that you are not dealt a king.

Since then

There are four kings in a deck of 52 cards.  The probability that you are dealt a king is .

Therefore, the probability at you are not dealt a king is

2.   "Or" Probability with Events that are Mutually Exclusive

Events that are mutually exclusive occur when it is impossible for events A and B to occur simultaneously.  If A and B are events that are mutually exclusive, then

Example 2: 

If you are selecting just one card from a standard 52-card deck, find the probability that you are selecting a jack OR a ten.

NOTE: There are four jacks and four tens in a deck of 52 cards.  Since jacks cannot be tens and tens cannot be jacks, the event of selecting one or the other is mutually exclusive.

The probability that you select a jack is .

The probability that you select a ten is also .

Therefore, the probability at you either select a jack or a ten is

3.   "Or" Probability with Events that are NOT Mutually Exclusive

Events that are NOT mutually exclusive occur when it is possible for events A and B to occur simultaneously.  If A and B events that are NOT mutually exclusive, then .

Example 3: 

If you are selecting just one card from a standard 52-card deck, find the probability that you are selecting a jack OR a heart.

NOTE: There are four jacks and thirteen hearts in a deck of 52 cards.  However, there is also one jack of hearts in the deck.  Therefore, the event of selecting a jack or a heart can occur simultaneiously. This means the two events are NOT mutually exclusive.

The probability that you select a jack is

The probability that you select a heart is

The probability that you select the jack of hearts, , is .

Therefore, the probability at you either select a jack or a heart is

4.   "And" Probability with Independent Events

Events are said to be independent if the occurrence of either of them has no effect on the probability of the other.  If A and B are events that are independent, then

Example 4: 

If you toss a quarter twice, find the probability that you get tails on the first toss AND on the second toss.

NOTE: When tossing a quarter twice in a row, the outcome of the second toss does not depend on the outcome of the first toss.

The equally likely outcome of tossing a quarter is either heads or tails.  The probability for either one is .

Therefore,

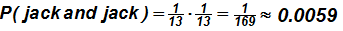
Example 5: 

You are selecting one card from a standard 52-card deck, you replace it, and then you select another card.  Find the probability that you are selecting a jack on the first pick AND on the second pick.

NOTE: Since you are putting the first card drawn back into the deck, the outcome of the second draw DOES NOT depend on the first draw.

There are four jacks in a deck of 52 cards.  The probability that you select a jack first is .

Once you replace the jack, there are still 4 jacks left in a deck of 52 cards.  The probability that you select a jack again is again .

Therefore, the probability of you select two jacks is

5.   "And" Probability with Dependent Events

Events are said to be dependent if the occurrence of one of them has an effect on the probability of the other.  If A and B are events that are dependent, then

The "And" probability with dependent events is also called conditional probability, which is symbolized as .  It states that the occurrence of event A has an effect on the probability of B.

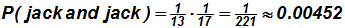
Example 6: 

You are selecting one card from a standard 52-card deck, you DO NOT replace it, and then you select another card.  Find the probability that you are selecting a jack on the first pick AND on the second pick.

NOTE: Since you DO NOT put the first card drawn back into the deck, the outcome of the second draw depends on the first draw.

There are four jacks in a deck of 52 cards.  The probability that you select a jack first is .

Once you select a jack, there are 3 jacks left in a deck of 51 cards.  The probability that you select a jack again is .

Therefore, the probability of you select two jacks is